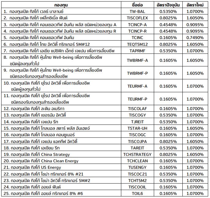
บริษัทหลักทรัพย์จัดการกองทุน ทิสโก้ จำกัด (“บริษัทจัดการ”) ขอแจ้งการเปลี่ยนแปลงค่าธรรมเนียมการจัดการของกองทุน จำนวน 25 กองทุน เพื่อให้อัตราค่าธรรมเนียมการจัดการของกองทุนดังกล่าวเป็นไปตามอัตรามาตรฐานที่กำหนดและสอดคล้องกับค่าธรรมเนียมการจัดการที่เรียกเก็บจากกองทุนประเภทเดียวกัน ดังนี้

หมายเหตุ: 1. % ต่อปีของมูลค่าทรัพย์สินสุทธิของกองทุน
2. ค่าธรรมเนียมดังกล่าวรวมภาษีมูลค่าเพิ่ม ภาษีธุรกิจเฉพาะหรือภาษีอื่นใดแล้ว
ทั้งนี้ การเปลี่ยนแปลงค่าธรรมเนียมการจัดการข้างต้นให้มีผลตั้งแต่วันที่ 27 มกราคม 2569 เป็นต้นไป
จึงเรียนมาเพื่อทราบโดยทั่วกัน
ประกาศ ณ วันที่ 20 มกราคม 2569
บริษัทหลักทรัพย์จัดการกองทุน ทิสโก้ จำกัด
สอบถามข้อมูลเพิ่มเติมได้ที่ TISCO Contact Center 0 2633 6000 กด 4 , 0 2080 6000 กด 4
ผู้ลงทุนควรทำความเข้าใจลักษณะสินค้า เงื่อนไขผลตอบแทน และความเสี่ยงก่อนการตัดสินใจลงทุน
รายงานฉบับนี้ไม่ถือว่าเป็นคำเสนอหรือคำชี้ชวนให้ซื้อหรือขายหลักทรัพย์ และจัดทำขึ้นเป็นการเฉพาะเพื่อประโยชน์แก่บุคคลที่เกี่ยวข้องกับบริษัทเท่านั้น มิให้นำไปเผยแพร่ทางสื่อมวลชนหรือโดยทางอื่นใด ทิสโก้ไม่ต้องรับผิดต่อความเสียหายใดๆ ที่เกิดขึ้นโดยตรงหรือเป็นผลจากการใช้เนื้อหาหรือรายงานฉบับนี้ การนำไปซึ่งข้อมูล บทความ บทวิเคราะห์ และการคาดหมายทั้งหลายที่ปรากฏอยู่ในรายงานฉบับนี้เป็นการนำไปใช้โดยผู้ใช้ยอมรับความเสี่ยงและเป็นดุลยพินิจของผู้ใช้แต่ผู้เดียว